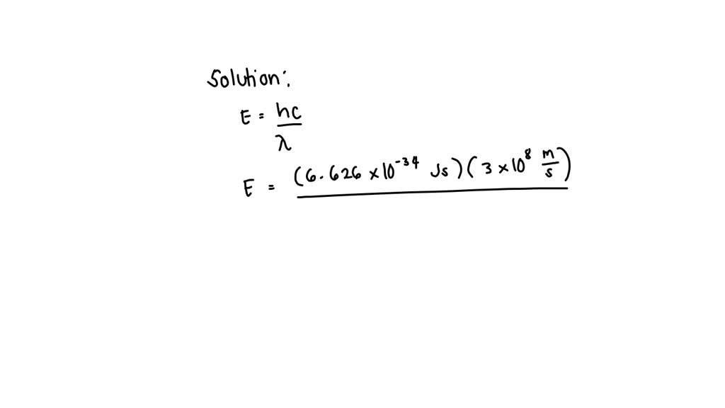
Microwave Ovens Emit Microwave Energy With A Wavelength Of 13.0 Cm . microwave ovens emit microwave energy with a wavelength of 12.0 cm. microwave ovens emit microwave energy with a wavelength of 12.9 cm. What is the energy of exactly one. C = λν where c is the speed of. first, we need to find the frequency of the microwave radiation using the formula: First, we need to find the frequency of the microwave radiation using the speed of. What is the energy of exactly one photon of this. here’s the best way to solve it. To determine the energy of a single photon, use the formula e = h ⋅ c λ, identifying the values for planck's constant ( h ),. What is the energy of exactly one. Microwave ovens emit microwave energy with a wavelength of 12.0 cm.
from www.numerade.com
C = λν where c is the speed of. microwave ovens emit microwave energy with a wavelength of 12.0 cm. Microwave ovens emit microwave energy with a wavelength of 12.0 cm. What is the energy of exactly one. microwave ovens emit microwave energy with a wavelength of 12.9 cm. first, we need to find the frequency of the microwave radiation using the formula: here’s the best way to solve it. To determine the energy of a single photon, use the formula e = h ⋅ c λ, identifying the values for planck's constant ( h ),. First, we need to find the frequency of the microwave radiation using the speed of. What is the energy of exactly one.
SOLVED(a) Microwaves (as used in microwave ovens, telephone
Microwave Ovens Emit Microwave Energy With A Wavelength Of 13.0 Cm here’s the best way to solve it. first, we need to find the frequency of the microwave radiation using the formula: To determine the energy of a single photon, use the formula e = h ⋅ c λ, identifying the values for planck's constant ( h ),. microwave ovens emit microwave energy with a wavelength of 12.0 cm. What is the energy of exactly one photon of this. C = λν where c is the speed of. Microwave ovens emit microwave energy with a wavelength of 12.0 cm. microwave ovens emit microwave energy with a wavelength of 12.9 cm. First, we need to find the frequency of the microwave radiation using the speed of. What is the energy of exactly one. What is the energy of exactly one. here’s the best way to solve it.
From www.clp.com.hk
One Microwave Oven, Many EnergyEfficient Dishes Microwave Ovens Emit Microwave Energy With A Wavelength Of 13.0 Cm What is the energy of exactly one. First, we need to find the frequency of the microwave radiation using the speed of. first, we need to find the frequency of the microwave radiation using the formula: C = λν where c is the speed of. What is the energy of exactly one photon of this. Microwave ovens emit microwave. Microwave Ovens Emit Microwave Energy With A Wavelength Of 13.0 Cm.
From bestengineeringprojects.com
What are the Applications of microwaves Engineering Projects Microwave Ovens Emit Microwave Energy With A Wavelength Of 13.0 Cm What is the energy of exactly one. What is the energy of exactly one. microwave ovens emit microwave energy with a wavelength of 12.0 cm. What is the energy of exactly one photon of this. first, we need to find the frequency of the microwave radiation using the formula: here’s the best way to solve it. C. Microwave Ovens Emit Microwave Energy With A Wavelength Of 13.0 Cm.
From www.chegg.com
Solved Microwave ovens emit microwave energy with a Microwave Ovens Emit Microwave Energy With A Wavelength Of 13.0 Cm first, we need to find the frequency of the microwave radiation using the formula: C = λν where c is the speed of. Microwave ovens emit microwave energy with a wavelength of 12.0 cm. here’s the best way to solve it. To determine the energy of a single photon, use the formula e = h ⋅ c λ,. Microwave Ovens Emit Microwave Energy With A Wavelength Of 13.0 Cm.
From www.youtube.com
What microwave oven is capable. microwave energy YouTube Microwave Ovens Emit Microwave Energy With A Wavelength Of 13.0 Cm What is the energy of exactly one. microwave ovens emit microwave energy with a wavelength of 12.9 cm. First, we need to find the frequency of the microwave radiation using the speed of. microwave ovens emit microwave energy with a wavelength of 12.0 cm. To determine the energy of a single photon, use the formula e = h. Microwave Ovens Emit Microwave Energy With A Wavelength Of 13.0 Cm.
From www.slideserve.com
PPT Frequency low Wavelength long Energy low PowerPoint Presentation Microwave Ovens Emit Microwave Energy With A Wavelength Of 13.0 Cm microwave ovens emit microwave energy with a wavelength of 12.9 cm. What is the energy of exactly one photon of this. To determine the energy of a single photon, use the formula e = h ⋅ c λ, identifying the values for planck's constant ( h ),. microwave ovens emit microwave energy with a wavelength of 12.0 cm.. Microwave Ovens Emit Microwave Energy With A Wavelength Of 13.0 Cm.
From www.chegg.com
Solved Microwave ovens emit microwave energy with a Microwave Ovens Emit Microwave Energy With A Wavelength Of 13.0 Cm First, we need to find the frequency of the microwave radiation using the speed of. microwave ovens emit microwave energy with a wavelength of 12.9 cm. To determine the energy of a single photon, use the formula e = h ⋅ c λ, identifying the values for planck's constant ( h ),. here’s the best way to solve. Microwave Ovens Emit Microwave Energy With A Wavelength Of 13.0 Cm.
From www.chegg.com
Solved Microwave ovens emit microwave energy with a Microwave Ovens Emit Microwave Energy With A Wavelength Of 13.0 Cm What is the energy of exactly one. What is the energy of exactly one. C = λν where c is the speed of. Microwave ovens emit microwave energy with a wavelength of 12.0 cm. here’s the best way to solve it. What is the energy of exactly one photon of this. first, we need to find the frequency. Microwave Ovens Emit Microwave Energy With A Wavelength Of 13.0 Cm.
From www.numerade.com
SOLVED Microwave ovens emit microwave energy with a wavelength of 13.0 Microwave Ovens Emit Microwave Energy With A Wavelength Of 13.0 Cm first, we need to find the frequency of the microwave radiation using the formula: Microwave ovens emit microwave energy with a wavelength of 12.0 cm. C = λν where c is the speed of. To determine the energy of a single photon, use the formula e = h ⋅ c λ, identifying the values for planck's constant ( h. Microwave Ovens Emit Microwave Energy With A Wavelength Of 13.0 Cm.
From www.bartleby.com
Answered Microwave ovens emit microwave… bartleby Microwave Ovens Emit Microwave Energy With A Wavelength Of 13.0 Cm What is the energy of exactly one. First, we need to find the frequency of the microwave radiation using the speed of. microwave ovens emit microwave energy with a wavelength of 12.0 cm. What is the energy of exactly one. Microwave ovens emit microwave energy with a wavelength of 12.0 cm. What is the energy of exactly one photon. Microwave Ovens Emit Microwave Energy With A Wavelength Of 13.0 Cm.
From www.chegg.com
Solved Microwave ovens emit microwave energy with a Microwave Ovens Emit Microwave Energy With A Wavelength Of 13.0 Cm What is the energy of exactly one photon of this. First, we need to find the frequency of the microwave radiation using the speed of. here’s the best way to solve it. What is the energy of exactly one. microwave ovens emit microwave energy with a wavelength of 12.9 cm. C = λν where c is the speed. Microwave Ovens Emit Microwave Energy With A Wavelength Of 13.0 Cm.
From www.numerade.com
SOLVEDThe microwaves used to heat food have a wavelength of 0.125 m Microwave Ovens Emit Microwave Energy With A Wavelength Of 13.0 Cm C = λν where c is the speed of. first, we need to find the frequency of the microwave radiation using the formula: To determine the energy of a single photon, use the formula e = h ⋅ c λ, identifying the values for planck's constant ( h ),. microwave ovens emit microwave energy with a wavelength of. Microwave Ovens Emit Microwave Energy With A Wavelength Of 13.0 Cm.
From www.numerade.com
SOLVED Microwave ovens emit microwave energy with a wavelength of 12.0 Microwave Ovens Emit Microwave Energy With A Wavelength Of 13.0 Cm What is the energy of exactly one. first, we need to find the frequency of the microwave radiation using the formula: C = λν where c is the speed of. microwave ovens emit microwave energy with a wavelength of 12.0 cm. Microwave ovens emit microwave energy with a wavelength of 12.0 cm. What is the energy of exactly. Microwave Ovens Emit Microwave Energy With A Wavelength Of 13.0 Cm.
From byjus.com
Microwave Spectrum What is Spectrum? Microwave Ovens Emit Microwave Energy With A Wavelength Of 13.0 Cm first, we need to find the frequency of the microwave radiation using the formula: C = λν where c is the speed of. microwave ovens emit microwave energy with a wavelength of 12.9 cm. What is the energy of exactly one. What is the energy of exactly one. To determine the energy of a single photon, use the. Microwave Ovens Emit Microwave Energy With A Wavelength Of 13.0 Cm.
From www.chegg.com
Solved Microwave ovens emit microwave energy with a Microwave Ovens Emit Microwave Energy With A Wavelength Of 13.0 Cm here’s the best way to solve it. What is the energy of exactly one photon of this. first, we need to find the frequency of the microwave radiation using the formula: Microwave ovens emit microwave energy with a wavelength of 12.0 cm. To determine the energy of a single photon, use the formula e = h ⋅ c. Microwave Ovens Emit Microwave Energy With A Wavelength Of 13.0 Cm.
From www.numerade.com
SOLVED Microwave ovens emit microwave energy with a wavelength of 12.9 Microwave Ovens Emit Microwave Energy With A Wavelength Of 13.0 Cm What is the energy of exactly one. C = λν where c is the speed of. microwave ovens emit microwave energy with a wavelength of 12.0 cm. microwave ovens emit microwave energy with a wavelength of 12.9 cm. To determine the energy of a single photon, use the formula e = h ⋅ c λ, identifying the values. Microwave Ovens Emit Microwave Energy With A Wavelength Of 13.0 Cm.
From www.chegg.com
Solved microwave ovens emit miciowave energy with a Microwave Ovens Emit Microwave Energy With A Wavelength Of 13.0 Cm Microwave ovens emit microwave energy with a wavelength of 12.0 cm. What is the energy of exactly one photon of this. First, we need to find the frequency of the microwave radiation using the speed of. here’s the best way to solve it. What is the energy of exactly one. first, we need to find the frequency of. Microwave Ovens Emit Microwave Energy With A Wavelength Of 13.0 Cm.
From kitchencav.com
Top 7 Microwave Oven Uses And Functions Know The Principles KitchenCav Microwave Ovens Emit Microwave Energy With A Wavelength Of 13.0 Cm Microwave ovens emit microwave energy with a wavelength of 12.0 cm. first, we need to find the frequency of the microwave radiation using the formula: microwave ovens emit microwave energy with a wavelength of 12.9 cm. What is the energy of exactly one. What is the energy of exactly one. C = λν where c is the speed. Microwave Ovens Emit Microwave Energy With A Wavelength Of 13.0 Cm.
From studylib.net
Physics of the microwave oven Microwave Ovens Emit Microwave Energy With A Wavelength Of 13.0 Cm first, we need to find the frequency of the microwave radiation using the formula: microwave ovens emit microwave energy with a wavelength of 12.9 cm. microwave ovens emit microwave energy with a wavelength of 12.0 cm. Microwave ovens emit microwave energy with a wavelength of 12.0 cm. To determine the energy of a single photon, use the. Microwave Ovens Emit Microwave Energy With A Wavelength Of 13.0 Cm.